当前位置:
C119480 2-氰乙基N,N,N′,N′-四异丙基亚磷酰二胺 ,97%

C119480 2-氰乙基N,N,N′,N′-四异丙基亚磷酰二胺 ,97%

0.00
0.00
  
商品描述

基本信息

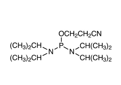
产品名称2-氰乙基N,N,N′,N′-四异丙基亚磷酰二胺
英文名称2-Cyanoethyl N,N,N′,N′-tetraisopropylphosphordiamidite
别名磷试剂;双(二异丙基氨基)(2-氰乙氧基)膦
英文别名Bis(diisopropylamino)(2-cyanoethoxy)phosphine;N,N,N’,N’-Tetrakis(1-methylethyl)phosphorodiamidous Acid 2-Cyanoethyl Ester; 2-Cyanoethoxybis(N,N-diisopropylamino)phosphine; 2-Cyanoethyl Tetraisopropylphosphorodiamidite
规格或纯度97%
运输条件超低温冰袋运输

一般描述

用于合成亚磷酰化核苷酸的试剂


用途:

2-氰基乙基N,N,N′,N′-四异丙基亚磷酰二胺被用于:

制备合成12-聚体寡脱氧核苷酸所需的亚磷酰胺试剂

作为合成1,2-二酰基-sn-甘油磷脂酰丝氨酸的磷酸化试剂

脱氧核糖核苷亚磷酰胺的原位 制备

制备2′-脱氧-2′-氟-3′-O-(β-氰基乙基-N,N-二异丙基磷酰基)-5′-O-(4-甲氧基三苯甲基)-4′-硫代-β-D-阿拉伯尿苷和1-(3-O-(β-氰基乙基-N,N-二异丙基磷酰基)-2-脱氧-2-氟-5-O-(4,4′-二甲氧基三苯甲基)-4-硫代-β-D-阿拉伯糖)-胸腺嘧啶

作为亚磷酸化核苷酸的合成试剂


Reagent for synthesizing phosphitylated nucleotides

安全信息

标识符号ghs07 ghs07, ghs02 ghs02
信号词Warning
警示性声明P305+P351+P338,P280,P370+P378,P210,P501,P233,P240,P264,P403+P235,P303+P361+P353,P241,P270,P337+P313,P332+P313,P242,P243,P301+P312+P330
危害声明H315,H319,H302,H226
个人防护设备dust mask type N95 (US), Eyeshields, Gloves
WGK3
闪点(摄氏)60°C
闪点(华氏)140 °F
UN Number1993
Class3
Packing groupIII

相关属性

CAS编号102691-36-1
敏感性对热、湿度和空气敏感
折光率1.47
沸点100°C/0.5mmHg
储存温度-20°C储存,充氩
Reaxys-RN3590103
MDL号MFCD00012213
密度0.95
分子量301.41
分子式C15H32N3OP
品牌阿拉丁
PubChem CID128153