当前位置:
F110919 固绿FCF ,Biological stain

F110919 固绿FCF ,Biological stain

0.00
0.00
  
商品描述

基本信息

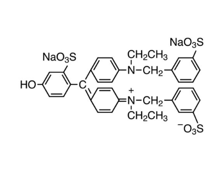
产品名称固绿FCF
英文名称Fast Green FCF
别名食品绿3;坚牢绿FCF
英文别名Food green 3;Solid Green FCF; Food Green No. 3
应用快绿用于IEF、PAGE 和 SDS-PAGE中的蛋白质染色。快绿染色比亮蓝R(Brilliant Blue R )覆盖更宽范围的蛋白质浓度,是线性的。 电泳过后,把蛋白质固定在胶上染色更加灵敏,在胶上用0.1%快绿溶于30% (v/v) 乙醇、10% (v/v) 醋酸或7% 醋酸染色2小时再用30% (v/v) 乙醇、10% (v/v) 乙酸或 7% 醋酸去染色. 染色胶能在 625 nm浏览。检测灵敏度要比亮蓝R(Brilliant Blue R)高30%
另外,快绿还用于亚硫酸盐测定,制造细菌培养基,用以鉴别大肠杆菌及其他乳糖发酵菌,培养分离粪便中的伤寒杆菌。
规格或纯度Biological stain
运输条件常规运输
生化机理广泛使用的组织和蛋白质染色剂。用作酸性提取DNA后在碱性pH下组蛋白的定量染色剂,以及在IEF(等电聚焦)和SDS-PAGE电泳中用作蛋白质染色剂。

一般描述

是一种碱性染料。通常用其酸性硫酸盐,溶于水、醇,显绿色。制法:在盐酸或硫酸介质中,苯甲醛与N,N-二乙基苯胺缩合,产物经氧化,并转化为硫酸盐。快绿用于IEF、PAGE 和 SDS-PAGE中的蛋白质染色。快绿染色比亮蓝R(Brilliant Blue R )覆盖更宽范围的蛋白质浓度,是线性的。 电泳过后,把蛋白质固定在胶上染色更加灵敏,在胶上用0.1%快绿溶于30% (v/v) 乙醇、10% (v/v) 醋酸或7% 醋酸染色2小时再用30% (v/v) 乙醇、10% (v/v) 乙酸或 7% 醋酸去染色. 染色胶能在 625 nm浏览。检测灵敏度要比亮蓝R(Brilliant Blue R)高30% 另外,快绿还用于亚硫酸盐测定,制造细菌培养基,用以鉴别大肠杆菌及其他乳糖发酵菌,培养分离粪便中的伤寒杆菌。


Fast Green FCF has been a widely utilized tissue and protein stain used in IEF and SDS-PAGE. Has the ability to determine efficiency of transfer and localization of sample proteins on blotting membranes. Other applications of Fast Green FCF include using its clastogenic properties and it may also act at a presynaptic locus inhibiting neurotransmitter release in whole-cell voltage clamped hippocampal interneurons. Has been shown to be a beneficial stain to detail integumental injuries in Chinook salmon. When bound to protein, Fast Green FCF fluoresces near infrared; color index #42053.
A widely utilized tissue and protein stain used in IEF & SDS-PAGE, fluoresces near IR


相关属性

CAS编号2353-45-9
敏感性对湿度敏感
熔点290°C
溶解性Soluble in water (150 g/l) at 25 °C, glycerin, glycol, alcohol, and ethanol.
储存温度充氩
Reaxys-RN9182211
RTECSBQ4425000
MDL号MFCD00013053
密度0.86
分子量808.85
分子式C37H34N2O10S3Na2
EC号219-091-5
品牌阿拉丁
备注如果有可能,您尽量在同一天配置溶液,并在当天使用完它。但是,如果您需要预先配制储备溶液,我们建议您将溶液等份保存在-20°C的密封小瓶中。通常,它们最多可以使用一个月。在使用前和打开样品瓶之前,我们建议您让您的产品在室温下平衡至少1小时。需要更多关于溶解度,用法和处理的建议吗?请访问我们的常见问题(FAQ)页面以获取更多详细信息。
PubChem CID16887