


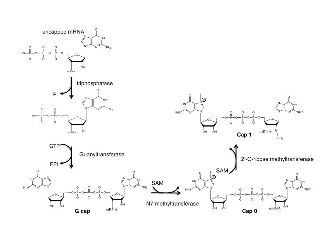
牛痘病毒加帽体系利用牛痘病毒加帽酶及相关组分,将7-甲基鸟苷帽结构(m7Gppp,Cap0)加到 RNA 的 5´ 末端。在真核生物中,该结构与mRNA的稳定、转运和翻译密切相关。使用酶促反应为RNA加帽是一种简单有效的方法,且帽结构与天然Cap 0结构完全一致,能显著改善用于体外转录、转染和显微注射的RNA的稳定性和翻译能力。这种酶由两个亚基(D1和D12)组成,D1亚基执行RNA三磷酸酶和鸟苷转移酶的功能,D12亚基执行鸟嘌呤甲基转移酶的功能,它们对于添加一个完整的Cap 0结构m7Gppp5´N都是必须的(图1)。
由牛痘病毒加帽酶构建的带帽RNA产品具有“cap 0”结构。通过在加帽反应中同时使用mRNA Cap 2'-O-甲基转移酶和牛痘病毒加帽酶,Cap 0-RNA可以转化为“ cap 1”结构。 mRNA Cap 2'-O-甲基转移酶通过将甲基从供体分子SAM转移到cap 0- RNA 5’端紧邻帽结构的第一个核苷酸的2'-O位置,从而从Cap 0-RNA制备Cap 1-RNA。
本体系可用于IVT RNA的加帽反应,使加帽反应在1h之内完成,效率接近100%,并且保证正确的方向。IVT推荐使用近岸蛋白质T7 High Yield RNA Transcription kit(货号:E131)。
牛痘病毒加帽体系利用牛痘病毒加帽酶及相关组分,将7-甲基鸟苷帽结构(m7Gppp,Cap0)加到 RNA 的 5´ 末端。在真核生物中,该结构与mRNA的稳定、转运和翻译密切相关。使用酶促反应为RNA加帽是一种简单有效的方法,且帽结构与天然Cap 0结构完全一致,能显著改善用于体外转录、转染和显微注射的RNA的稳定性和翻译能力。这种酶由两个亚基(D1和D12)组成,D1亚基执行RNA三磷酸酶和鸟苷转移酶的功能,D12亚基执行鸟嘌呤甲基转移酶的功能,它们对于添加一个完整的Cap 0结构m7Gppp5´N都是必须的(图1)。
由牛痘病毒加帽酶构建的带帽RNA产品具有“cap 0”结构。通过在加帽反应中同时使用mRNA Cap 2'-O-甲基转移酶和牛痘病毒加帽酶,Cap 0-RNA可以转化为“ cap 1”结构。 mRNA Cap 2'-O-甲基转移酶通过将甲基从供体分子SAM转移到cap 0- RNA 5’端紧邻帽结构的第一个核苷酸的2'-O位置,从而从Cap 0-RNA制备Cap 1-RNA。
本体系可用于IVT RNA的加帽反应,使加帽反应在1h之内完成,效率接近100%,并且保证正确的方向。IVT推荐使用近岸蛋白质T7 High Yield RNA Transcription kit(货号:E131)。
牛痘病毒加帽体系利用牛痘病毒加帽酶及相关组分,将7-甲基鸟苷帽结构(m7Gppp,Cap0)加到 RNA 的 5´ 末端。在真核生物中,该结构与mRNA的稳定、转运和翻译密切相关。使用酶促反应为RNA加帽是一种简单有效的方法,且帽结构与天然Cap 0结构完全一致,能显著改善用于体外转录、转染和显微注射的RNA的稳定性和翻译能力。这种酶由两个亚基(D1和D12)组成,D1亚基执行RNA三磷酸酶和鸟苷转移酶的功能,D12亚基执行鸟嘌呤甲基转移酶的功能,它们对于添加一个完整的Cap 0结构m7Gppp5´N都是必须的(图1)。
由牛痘病毒加帽酶构建的带帽RNA产品具有“cap 0”结构。通过在加帽反应中同时使用mRNA Cap 2'-O-甲基转移酶和牛痘病毒加帽酶,Cap 0-RNA可以转化为“ cap 1”结构。 mRNA Cap 2'-O-甲基转移酶通过将甲基从供体分子SAM转移到cap 0- RNA 5’端紧邻帽结构的第一个核苷酸的2'-O位置,从而从Cap 0-RNA制备Cap 1-RNA。
本体系可用于IVT RNA的加帽反应,使加帽反应在1h之内完成,效率接近100%,并且保证正确的方向。IVT推荐使用近岸蛋白质T7 High Yield RNA Transcription kit(货号:E131)。
图例:参与mRNA加帽的酶促途径。Cap 0结构RNA的产生需要牛痘病毒加帽酶:该酶兼具三磷酸酶、鸟苷转移酶和鸟嘌呤甲基转移酶的功能。其中S-腺苷甲硫氨酸(SAM)是甲基供体。一旦产生了Cap 0结构,就可以通过2'-O-核糖甲基转移酶进一步修饰以产生Cap 1结构。本图引自Michael Beverly , Amy Dell, Parul Parmar, Leslie Houghton et al (2016). Label-free analysis of mRNA capping efficiency using RNase H probes and LC-MS. Anal Bioanal Chem.体内或体外翻译前mRNA的加帽和mRNA的5’末端标记。
提高RNA的翻译效率;
改善mRNA在显微注射和转染后的表达。
SAM: SAM在pH 7-8,37°C条件下不稳定,为避免SAM降解,该工作液需要保存于冰上。
RNA:在加帽体系使用之前,应将体外转录反应产生的RNA进行纯化并溶解于RNase-free水中,不能将RNA溶解在EDTA溶液或其他盐溶液中。
RNA二级结构:一些RNA转录本可能形成稳定的二级结构(同源二聚体和发卡结构),如二级结构发生在转录本的5'端会影响加帽效率。在与加帽酶反应之前加热RNA可以去除转录产物5´端的二级结构,如果转录产物的5´端结构复杂,可以把加热时间延长至10min,加帽反应时间可延长至60min。
Cap 0-和Cap 1-mRNA:Cap 0-和Cap 1-mRNA之间的差异在RNA 5'端紧邻帽结构的第一位核苷酸(N1)是否具有2'-O-甲基。在高等真核细胞中,该甲基化是天然加帽过程的一部分,Cap 1结构提高了mRNA的翻译效率。
Poly(A) 尾:如果加帽的RNA需要添加3'-poly(A)尾巴,可以使用近岸蛋白质E. coli Poly(A) Polymerase(货号:M012)进行加尾。加帽和加尾后的RNA需在进行RNA转染实验前做纯化处理。
RNase Inhibitor:在配置反应体系时,可以加入0.5 µl近岸蛋白质RNase 抑制剂(货号:E125),同时去掉等体积的RNase-free水。
1. 加帽效率低有哪些原因及解决方法?
1) 在加帽反应之前,应将IVT产生的RNA纯化去除残留蛋白质,污染物和未结合核苷酸,并溶解在RNase-free水中,不能将RNA溶解在EDTA或其他盐溶液中;
2) SAM在室温下会慢慢降解,需始终放置在冰上,由于SAM的降解导致的N7甲基化效率低,会进一步导致加帽失败;
3) 可以适当增加RNA热变性的条件,把加热时间延长至10min,加帽反应时间可延长至60min;
4) 某些RNA会在5'末端形成稳定结构(如同源二聚体,发卡结构),限制加帽酶靠近。分析序列后可以将RNA变性温度增加。如5'末端高度结构化,需要通过分子生物学技术来修改序列。通常可以通过在转录RNA(非编码区)的DNA模板前5个碱基中进行单点突变来实现。
2. 缓冲液出现白色沉淀如何解决?
1) 将反应缓冲液在37℃孵育5min,彻底混匀以溶解沉淀物;
2) 不要将试剂盒储存于-70℃。
2026-04-07
2026-03-02
限时免费试用!加拿大Labplas无菌采样袋,让您的样品更安全!
2026-01-23
2026-01-12
2025-12-31