当前位置:
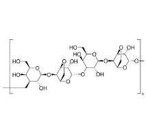
A801450 琼脂糖,low EEO

A801450 琼脂糖,low EEO

0.00
0.00
  
商品描述

A801450 琼脂糖,low EEO

Agarose
琼脂糖凝胶,球状琼脂糖
9012-36-6
232-731-8
MFCD00081294
室温