当前位置:
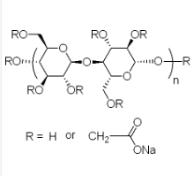
C804618 羧甲基纤维素I,M.W. 700000(DS=0.9) ,2500 - 4500mPa.s

C804618 羧甲基纤维素I,M.W. 700000(DS=0.9) ,2500 - 4500mPa.s

0.00
0.00
  
商品描述

C804618 羧甲基纤维素I,M.W. 700000(DS=0.9) ,2500 - 4500mPa.s

Carboxymethyl cellulose
羧甲基纤维素(CMC) ;羧甲基纤维素钠,羧甲基醚纤维素钠盐
9004-32-4
(C6+2yH7+x+2yO2+x+3yNay)n
274 °C (dec.)
1.6 g/cm3
MFCD00081472
室温