当前位置:
N128634 核酸酶S1 来源于米曲霉 ,≥100,000-500,000 units/ml

N128634 核酸酶S1 来源于米曲霉 ,≥100,000-500,000 units/ml

0.00
0.00
  
商品描述

基本信息

产品名称核酸酶S1 来源于米曲霉
英文名称Nuclease S1 from Aspergillus oryzae
别名Endonuclease S1
英文别名Endonuclease S1
规格或纯度≥100,000-500,000 units/ml
运输条件超低温冰袋运输
单位定义One Unit hydrolyzes one microgram of denatured calf thymus DNA per minute at 37°C, pH 4.6.
酶学委员会编号3.1.30.1
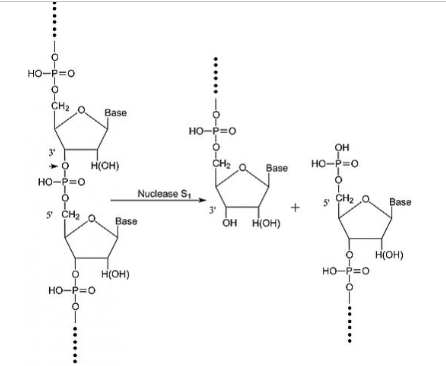
生化机理Nuclease S1 isolated from Aspergillus oryzae exhibits endo- and exolytic hydrolytic activity for the phosphodiester bonds of single-stranded DNA and RNA yielding 5’-phosphomononucleotide and 5’-phosphooligonucleotide end-products. It is used to digest non-annealed polynucleotide tails and hairpin loops in RNA and DNA duplexes and can be used to convert superhelical DNA to the linear form.

一般描述


Product Description
Chromatographically purified. Specific for single-stranded DNA (ssDNA) degradation. Activity on native (ds) DNA undetectable under the assay conditions. A frozen solution in 30mM sodium acetate, pH 4.6, 50mM NaCl, 1mM ZnCl2, and 50% glycerol.
Nuclease S1 isolated from certain Neurospora and Aspergillus species specifically hydrolyzes both terminal and internal phosphodiester bonds of single-stranded DNA and RNA. Nuclease S1 has a molecular weight of approximately 34 kDa and exists as a monomer. The optimum pH range is 4.0-4.6, and it is activated by Zn2+ and/or Ca2+. Inhibitors are EDTA, citrate and high concentrations of SDS.

Product Application
Nuclease S1 from Aspergillus oryzae has been used in a study to assess a biochemical method for mapping mutational alterations in DNA.It has also been used in a study to investigate the DNA damage and repair in a γ-irradiated rat brain tumor.

相关属性

CAS编号37288-25-8
储存温度-20°C储存
MDL号MFCD00131010
品牌阿拉丁
PubChem CID135298688