当前位置:
T104866 吐温80(TWEEN ® 80) ,药用级

T104866 吐温80(TWEEN ® 80) ,药用级

0.00
0.00
  
商品描述

基本信息

产品名称吐温80(TWEEN ® 80)
英文名称TWEEN ® 80
别名乳化剂T80, 聚山梨醇酯 80, 聚氧乙烯 (20) 脱水山梨糖醇单油酸酯, 聚氧乙烯山梨糖醇酐单油酸酯
英文别名TWEEN 80,POE (20) sorbitan monooleate, Polyethylene glycol sorbitan monooleate, Polyoxyethylenesorbitan monooleate, Polysorbate 80
规格或纯度药用级
运输条件常规运输

一般描述

易溶于水,溶于乙醇、植物油、乙酸乙酯、甲醇、甲苯不溶于矿物油。低温时成胶状,受热后复原。有特臭,味微苦。 为非离子型亲水性表面活性剂。用作注射剂的增溶剂及其他剂型的乳化剂和分散剂,药用辅料,气相色谱固定注(最高使用温度160℃,溶剂为氯仿、二氯甲烷、甲醇),分离分析脂肪酸酯、醇、酮和卤化物。扩散剂。湿润剂。


相关属性

CAS编号9005-65-6
敏感性对光敏感
折光率1.471-1.473
熔点–21 °C
沸点100 °C
储存温度避光
MDL号MFCD00082107
密度1.064
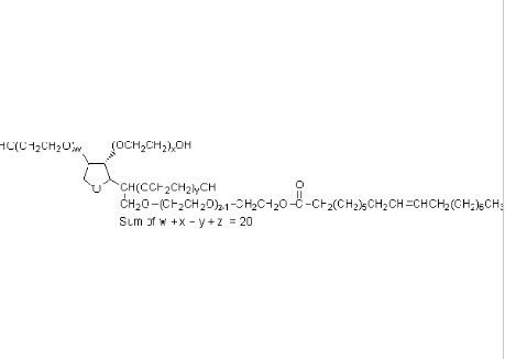
分子式
品牌阿拉丁
PubChem CID443315