当前位置:
H108813 2-羟丙基-β-环糊精 ,97%

H108813 2-羟丙基-β-环糊精 ,97%

0.00
0.00
  
商品描述

基本信息

产品名称2-羟丙基-β-环糊精
英文名称(2-Hydroxypropyl)-β-cyclodextrin
别名羟丙基-β-环糊精
英文别名Hydroxypropyl-beta-cyclodextrin
应用(2-羟丙基)-β-环糊精已用于:
· 探究其对胆固醇体内平衡的影响
· 小鼠中的引火过程及海马体电图分析
· 在小鼠中改善不良前脉冲抑制(PPI)
由于 HBC 和药物形成络合物,因此在水溶液中亲脂性药物的溶解度随着羟丙基-β-环糊精 (HBC) 的浓度线性增加。该客体-主体型络合物形成于药物和 HBC 的非极性腔之间,可引起增溶溶解。溶液可冻干生成易溶的粉末。对兔和小鼠无毒。
规格或纯度97%
运输条件常规运输
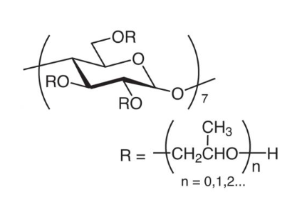
生化机理含有七个D-(+)-吡喃葡萄糖单元的环状寡糖被广泛用于改善各种化合物(尤其是含有苯基的化合物)的水溶性。

一般描述

环糊精是由6,7或8个吡喃葡萄糖单元组成的环状低聚糖,通常分别称为α-, β-,或γ-环糊精。这些化合物具有刚性的环形结构,使其成为天然的络合剂。这些化合物的独特结构的稳定性归功于相邻吡喃葡萄糖单元的C2-和C3-羟基之间的分子内氢键。该分子呈环状形状,其中C2-和C3-羟基位于较大的开口周围,而反应性较高的C6-羟基则在较小的开口周围排列。C6-羟基与氢键结合的C2-和C3-羟基的相对排列迫使氧空腔内键合至紧邻的邻位,从而产生了一个富电子的疏水内部。该疏水腔的大小与形成环糊精的吡喃葡萄糖单元数成函数关系。 天然环糊精的溶解度极低。1960年代末期发现在2,3和6号羟基位点的化学性取代可极大提高溶解度。绝大多数化学改性的环糊精都能在水中达到50%(w/v)的浓度。 空腔的大小是决定哪种环糊精用于络合的主要决定因素。#946;-环糊精或#946;-吡喃葡萄糖单元化合物的空腔直径非常适合用于激素、维生素和组织和细胞培养应用中常用的许多化合物大小的分子。处于这样的原因,β-环糊精最常用作络合剂。(2-羟丙基)-β-环糊精已用于: · 探究其对胆固醇体内平衡的影响 · 小鼠中的引火过程及海马体电图分析 · 在小鼠中改善不良前脉冲抑制(PPI) 由于 HBC 和药物形成络合物,因此在水溶液中亲脂性药物的溶解度随着羟丙基-β-环糊精 (HBC) 的浓度线性增加。该客体-主体型络合物形成于药物和 HBC 的非极性腔之间,可引起增溶溶解。溶液可冻干生成易溶的粉末。对兔和小鼠无毒。


(2-Hydroxypropyl)-β-cyclodextrin is the most widely used modified cyclodextrin. The compound has shown to change the physicochemical properties of lipophilic compounds when co-administered. (2-Hydroxypropyl)-β-cyclodextrin functions by forming an inclusion complex with the compound being administered for easier diffusion across biological membranes, and its popularity can be attributed to its large 7 glucose unit cavity size. Some advantageous effects are reduction of negative effects, increased aqueous solubility and increased stability. The effects of (2-Hydroxypropyl)-β-cyclodextrin have been observed to be dose dependent with both advantageous and disadvantageous results occurring at sporadic concentrations. The compound may also increase the antimicrobial effectiveness of chemical agents by increasing their release rate.
A cyclodextrin that allows easier diffusion of lipophiles across biological membranes

相关属性

CAS编号128446-35-5
比旋光度125° (C=1,H2O)
MDL号MFCD00069372
密度0.9819
EC号420-920-1
品牌阿拉丁
备注如果有可能,您尽量在同一天配置溶液,并在当天使用完它。但是,如果您需要预先配制储备溶液,我们建议您将溶液等份保存在-20°C的密封小瓶中。通常,它们最多可以使用一个月。在使用前和打开样品瓶之前,我们建议您让您的产品在室温下平衡至少1小时。需要更多关于溶解度,用法和处理的建议吗?请访问我们的常见问题(FAQ)页面以获取更多详细信息。
PubChem CID56972821