当前位置:
B129088 BRIJ™ O10聚氧乙烯(10)油醚 ,非离子表面活性剂

B129088 BRIJ™ O10聚氧乙烯(10)油醚 ,非离子表面活性剂

0.00
0.00
  
商品描述

基本信息

产品名称BRIJ™ O10聚氧乙烯(10)油醚
英文名称Brij™O10
别名Brij 97
英文别名Brij 97, C18-1E10, Polyoxyethylene (10) oleyl ether
规格或纯度非离子表面活性剂
运输条件常规运输

一般描述

BRIJ™ 010是基于油醇的乙氧基化(10)天然脂肪醇。这种天然衍生的表面活性剂具有多种功能优势,包括润湿和高发泡特性。 化学基团: 非离子表面活性剂 - 乙氧基化脂肪醇 产品生产厂家:英国禾大(Croda)一种高的HLB表面活性剂。用于与BRIJ? O2组合乳化极性和非极性油。


Brij O10 is an ethoxylated (10) natural fatty alcohol, based on oleyl alcohol. This naturally derived surfactant offers a number of functional benefits including wetting and high foaming to a variety of applications. Chemical group Nonionic Surfactants - Ethoxylated Fatty Alcohols Manufacturer:Croda
A high HLB surfactant. Used in combination with BRIJ O2 to emulsify both polar and non-polar oils. Brij O10 has been used in a study to assess the aqueous surfactant two-phase systems for the continuous countercurrent cloud point extraction.


相关属性

CAS编号9004-98-2
折光率1.4600 to 1.4640
熔点30°C
沸点100°C
RTECSRK2775000
MDL号MFCD00074369
密度1
分子量356.58
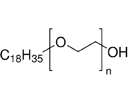
分子式C18H35(OCH2CH2)nOH, n~2
品牌阿拉丁
法律信息Brij is a registered trademark of Croda International PLC
PubChem CID5364713