


| Related Categories | Alphabetical Index of Phytochemical Standards, Analytical Standards, E - H, Eleutherococcus, Phenylpropanes, |
| grade | analytical standard |
| assay | ≥98.0% (HPLC) |
| shelf life | limited shelf life, expiry date on the label |
| storage temp. | 2-8°C |
Bottomless glass bottle. Contents are inside inserted fused cone.
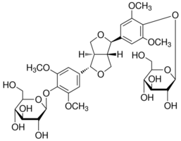
Eleutheroside E (ELU E) may be used as a reference standard for the analysis of ELU E in:
• Rat plasma and tissue by solid-phase extraction (SPE) followed by high-performance liquid chromatography (HPLC) and photodiode array detection (PDA).
• Acanthopanax senticosus by ionic liquids-ultrasound assisted extraction (ILUAE) followed by HPLC with ultraviolet (UV) detection.
• Eleutherococcus senticosus Maxim. by rapid resolution liquid chromatography (RRLC) equipped with multi-wavelength UV detector.
• Acanthopanax giraldii Harms by HPLC with diode array detector (DAD).
Eleutheroside E is one of the major bioactive saponins of Eleutherococcus senticosus.
|
商品类别
|
*商品编号
|
商品名称
|
规格型号
|
|
SIGMA
|
08198-10MG
|
刺五加苷E
Eleutheroside E
|
10MG
|
|
SIGMA
|
12007C-500ML
|
胎牛血清
|
500ml/瓶
|
|
SIGMA
|
152463-250ML
|
2-甲基-2-丁醇
|
250ml/瓶
|
|
SIGMA
|
16005-1KG-R
|
多聚甲醛
|
1kg
|
|
SIGMA
|
16922-500G-F
|
Tryptone
(vegetable)
|
500g
|
|
SIGMA
|
202398-250G
|
聚乙二醇
|
250g/瓶
|
|
SIGMA
|
217263-5G
|
Sodium
thiosulfate
|
5g
|
|
SIGMA
|
281778-100ML
|
(3-Aminopropyl)trimethoxysilane
|
100ML
|
|
SIGMA
|
30070-10G
|
半胱胺
|
10G
|
|
SIGMA
|
31395-10G
|
葡聚糖硫酸酯 钠盐
|
10g
|
|
SIGMA
|
31395-50G
|
葡聚糖硫酸酯钠盐
|
50g
|
|
SIGMA
|
31417-100MG-F
|
葡聚糖
|
100mg
|
|
SIGMA
|
322415-1L
|
甲醇
|
1L/瓶
|
|
SIGMA
|
341584-25G
|
聚(乙烯醇)
|
25g
|
|
SIGMA
|
341584-500G
|
聚(乙烯醇)
|
500g
|
|
SIGMA
|
36733-250MG
|
(−)-Nicotine
|
250mg
|
|
SIGMA
|
44112-100G-F
|
Tween
20
|
100g
|
|
SIGMA
|
459836-500ML
|
Ethyl
alcohol
|
500ml/瓶
|
|
SIGMA
|
50839-25MG
|
梓醇苷
catalpol
|
25MG
|
|
SIGMA
|
557354-5MG
|
ROS
Inhibitor
|
5mg
|
|
SIGMA
|
57285-U
|
固相微萃取头组合套件
|
|
|
SIGMA
|
63559-250G
|
D-甘露糖醇
|
250g/瓶
|
|
SIGMA
|
63689-25ML-F
|
2-巯基乙醇
|
25ml
|
|
SIGMA
|
71504-250G
|
Sodium
phosphate monobasic monohydrate
|
250g
|
|
SIGMA
|
71507-250G
|
磷酸钠
一元 一水合物
|
250g
|
|
SIGMA
|
71640-250G
|
Sodium
phosphate dibasic
|
250g
|
|
SIGMA
|
72049-250G
|
硫代硫酸钠
|
250g
|
|
SIGMA
|
769193-1KG
|
Cremophor
A25
|
1kg
|
|
SIGMA
|
81253-250G
|
PEG6000
|
250g/瓶
|
|
SIGMA
|
81323-250G
|
聚乙二醇甲醚
|
250g/瓶
|
|
SIGMA
|
84097-250G
|
蔗糖
|
250g
|
|
SIGMA
|
90974-10MG
|
刺五加苷B
Eleutheroside B
|
10MG
|
|
SIGMA
|
93283-100ML
|
Tris-EDTA
buffer solution
|
100ml
|
|
SIGMA
|
A0500-100G
|
乙酰胺
|
100G
|
|
SIGMA
|
A1153-1MG
|
抑肽酶
来源于牛肺
|
1mg/瓶
|
|
SIGMA
|
A1410-5MG
|
放线菌素
D
|
5mg
|
|
SIGMA
|
A2547-100UL
|
Monoclonal
Anti-Actin, α-Smoot
|
100ul/支
|
|
SIGMA
|
A2942-100ML
|
两性霉素
B 溶液
|
100ml
|
|
SIGMA
|
A3656-5MG
|
5-Aza-2′-deoxycytidine
|
5mg
|
|
SIGMA
|
A3854-200UL
|
Monoclonal
Anti-β-Actin Peroxi
|
200ul
|
|
SIGMA
|
A4544-100G
|
L-Ascorbic
acid
|
100g
|
|
SIGMA
|
A6410-100UN
|
三磷酸腺苷双磷酸酶
来源于马铃薯
|
100un/支
|
|
SIGMA
|
A7736-1G
|
Albumin
human
|
1g
|
|
SIGMA
|
A7906-100G
|
Albumin
from Bovine Serum (ABS
|
100g/瓶
|
|
SIGMA
|
A8674-50MG
|
Antimycin
A
|
50mg
|
|
SIGMA
|
A9415-5MG
|
Actinomycin
D
|
5mg
|
|
SIGMA
|
A9525-5MG
|
人血管紧张素
II
|
5mg/瓶
|
|
SIGMA
|
A9731-1G
|
Albumin
human
|
1g/支
|
|
SIGMA
|
A9771-1G
|
FITC-albumin
|
1g
|
|
SIGMA
|
B1686-5MG
|
BIO
|
5mg
|
|
SIGMA
|
B1911-100ML
|
NBT
Liquid Substrate System
|
|
|
SIGMA
|
B2064-100G
|
Bovine
Serum Albumin
|
100g
|
|
SIGMA
|
B2261-25MG
|
Hoechst
33342
|
25mg
|
|
SIGMA
|
B2635-10G
|
Busulfan
|
10g
|
|
SIGMA
|
B5002-100MG
|
5-Bromo-2′-deoxyuridine
|
100mg
|
|
SIGMA
|
B5002-500MG
|
BrdU
|
500MG
|
|
SIGMA
|
B6542-5MG
|
Brefeldin
A
|
5mg/支
|
|
SIGMA
|
B6688-5MG
|
BMS
493
|
5mg
|
|
SIGMA
|
BP501
|
Levonorgestrel
|
100mg
|
|
SIGMA
|
C0130-100MG
|
胶原蛋白酶
|
100mg
|
|
SIGMA
|
C0424-10MG
|
pk11995
|
10mg
|
|
SIGMA
|
C0732-100G
|
西吡氯铵
|
|
|
SIGMA
|
C2401-1G
|
Crotaline
|
1g
|
|
SIGMA
|
C2674-100MG
|
胶原蛋白酶
|
100mg
|
|
SIGMA
|
C2674-1G
|
胶原蛋白酶
|
1g
|
|
SIGMA
|
C2674-500MG
|
胶原蛋白酶
|
500mg
|
|
SIGMA
|
C2687-100UL
|
Monoclonal
Anti-Calponin antib
|
100ul/支
|
|
SIGMA
|
C2759-100G
|
Carbonyl
cyanide 3-chloropheny
|
100g/瓶
|
|
SIGMA
|
C2759-100MG
|
Carbonyl
cyanide 3-chlorophenylhydrazone
|
100mg
|
|
SIGMA
|
C4555-5G
|
甲基-β-环糊精
|
5G
|
|
SIGMA
|
C5138-100MG
|
胶原蛋白酶
|
100mg
|
|
SIGMA
|
C5138-1G
|
胶原蛋白酶
|
1g
|
|
SIGMA
|
C5138-25MG
|
胶原蛋白酶
|
25mg
|
|
SIGMA
|
C5174-5MG
|
4′-Chlorodiazepam
|
5mg/支
|
|
SIGMA
|
C5670-100G
|
Calcium
chloride
|
100g
|
|
SIGMA
|
C6158-50G
|
结晶紫
|
50g
|
|
SIGMA
|
C7902-500G
|
氯化钙
|
500g
|
|
SIGMA
|
C8661-100G
|
氯化钴(II)
六水合物
|
100g/瓶
|
|
SIGMA
|
CDS021691-100MG
|
D-Glucosamine
|
100mg/支
|
|
SIGMA
|
D1556-250ML
|
OptiPrep
Density Gradient Medium
|
250ml
|
|
SIGMA
|
D2650-100ML
|
DMSO
|
100ml
|
|
SIGMA
|
D4693-1G
|
DISPASE
II
|
1g/瓶
|
|
SIGMA
|
D4902-25MG
|
Dexamethasone
|
25mg
|
|
SIGMA
|
D5025-375KU
|
Deoxyribonuclease
I from bovine pancrea
|
375KU
|
|
SIGMA
|
D5879-100ML
|
DMSO
|
100ml
|
|
SIGMA
|
D5879-500ML
|
DMSO
|
500ml
|
|
SIGMA
|
D6134-1G
|
2-Deoxy-D-Glucose
|
1g/瓶
|
|
SIGMA
|
D6750-100G
|
脱氧胆酸钠
|
100G
|
|
SIGMA
|
D8418-500ML
|
DMSO
|
500ml
|
|
SIGMA
|
D8555-5MG
|
N,N-Dihexyl-2-(4-fluorophenyl)
|
5mg/瓶
|
|
SIGMA
|
D9542-10MG
|
DAPI
|
10mg
|
|
SIGMA
|
D9785-10L
|
DMEM/Nutrient
Mixture F-12 Ham
|
10L
|
|
SIGMA
|
DN25-100MG
|
脱氧核糖核酸酶
|
100mg
|
|
SIGMA
|
DN25-10MG
|
脱氧核糖核酸酶
I 来源于牛胰腺
|
10mg/瓶
|
|
SIGMA
|
E003256-25G
|
L-(+)-阿拉伯糖
|
25G
|
|
SIGMA
|
E10521-10G
|
3-氨基苯甲酸乙酯
|
10g
|
|
SIGMA
|
E2888-100ML
|
Earle
平衡盐
|
100ml
|
|
SIGMA
|
E6511-100G
|
Ethylenediaminetetraacetic
acid tetrasodium salt dihydrate
|
100G
|
|
SIGMA
|
E7885-1MG
|
弹性蛋白酶
|
1mg
|
|
SIGMA
|
E7885-5MG
|
弹性蛋白酶
来源于猪胰腺
|
5mg
|
|
SIGMA
|
F2637-10G
|
Ficoll
400
|
10g
|
|
SIGMA
|
F2637-5G
|
Ficoll
400
|
5g
|
|
SIGMA
|
F3879-250MG
|
Fibrinogen
来源于人类血浆
|
250mg/瓶
|
|
SIGMA
|
F4375-10G
|
Ficoll
PM 400
|
10g
|
|
SIGMA
|
F5259-2ML
|
Anti-Human
IgA (α-chain specific)−FITC antibody produced in goat
|
2ml
|
|
SIGMA
|
F8129-25G
|
Acid
Fuchsin
|
25g
|
|
SIGMA
|
G1514-100G
|
D-(+)-葡萄糖胺
盐酸盐
|
100g
|
|
SIGMA
|
G5388-500G
|
Galactose
|
500g
|
|
SIGMA
|
G7021-1KG
|
D-(+)-葡萄糖
|
1KG
|
|
SIGMA
|
G7422-200UL
|
Anti-GSDMD
(126-138) antibody
|
200ul
|
|
SIGMA
|
G9422-10G
|
β-甘油磷酸
|
10g
|
|
SIGMA
|
G9422-50G
|
β-Glycerophosphate
disodium salt hydrate
|
50g
|
|
SIGMA
|
G9652-1MG
|
GMI
|
1mg
|
|
SIGMA
|
GBL654002-100EA
|
Grace
Bio-Labs SecureSeal imaging spacer
|
100EA
|
|
SIGMA
|
H3136-100G
|
Hematoxylin
|
100g
|
|
SIGMA
|
H3375-250G
|
HEPES
|
250G/瓶
|
|
SIGMA
|
H3506-100MG
|
透明质酸酶
来源于牛睾丸
|
100mg/瓶
|
|
SIGMA
|
H8627-1G
|
羟基脲
|
1G
|
|
SIGMA
|
HT254-250ML
|
Van
Gieson Solution Acid Fuchsin
|
250ml
|
|
SIGMA
|
I0516-5ML
|
Insulin
solution
|
5ml
|
|
SIGMA
|
I202-100G
|
咪唑
|
|
|
SIGMA
|
I3021-100ML
|
IGEPAL
CA-630
|
100G
|
|
SIGMA
|
I4131-10MG
|
IgG来源大鼠血清
|
10mg/支
|
|
SIGMA
|
I5500-100MG
|
Insulin
from bovine pancreas
|
100mg/瓶
|
|
SIGMA
|
L1375-100ML
|
DL-乳酸钠
溶液
|
|
|
SIGMA
|
L1418-200UL
|
Anti-LAMP1
antibody produced in rabbit
|
200ul
|
|
SIGMA
|
L2884-1MG
|
亮抑酶肽
|
1mg/瓶
|
|
SIGMA
|
L4391-1MG
|
Lipopolysaccharides
|
1mg
|
|
SIGMA
|
L6146-1L
|
Lugol
溶液
|
1L
|
|
SIGMA
|
M0199-5MG
|
Mdivi-1
|
5mg/瓶
|
|
SIGMA
|
M0375-100G
|
马来酸
|
100g
|
|
SIGMA
|
M0375-500G
|
马来酸
|
500g
|
|
SIGMA
|
M2128-1G
|
噻唑蓝MTT
|
1g
|
|
SIGMA
|
M3148-25ML
|
2-巯基乙醇
|
25ml
|
|
SIGMA
|
M4403-0.2ml
|
Monoclonal
Anti-MAP2 antibody produced in mouse
|
|
|
SIGMA
|
M5655-500MG
|
噻唑蓝
|
500mg/支
|
|
SIGMA
|
M5939-5MG
|
(R)-N4-Hydroxy-N1-[(S)-2-(1H-i
|
5mg/瓶
|
|
SIGMA
|
M6250-250ML
|
2-Mercaptoethanol
(2ME)
|
250ml
|
|
SIGMA
|
M7145-100ML
|
非必需氨基酸溶液
|
100ml/瓶
|
|
SIGMA
|
M8046-1G
|
Mifepristone
|
1g/瓶
|
|
SIGMA
|
M8883-250MG
|
4-甲基伞形酮磷酸酯
|
250mg/瓶
|
|
SIGMA
|
MAK104-1KT
|
Total
Carbohydrate Assay Kit
|
1kit
|
|
SIGMA
|
MAK316-1KT
|
亚铁血红素检测试剂盒
|
1KT
|
|
SIGMA
|
MINI26-1KT
|
PKH26
Red Fluorescent Cell Linker Mini Kit
|
1kit
|
|
SIGMA
|
N7143-10MG
|
Nigericin
sodium salt
|
10mg
|
|
SIGMA
|
P-4265
|
Pepstatin
A
|
100
mg
|
|
SIGMA
|
P1379-1L
|
Tween
20
|
1L/瓶
|
|
SIGMA
|
P1644-500ML
|
Percoll
|
500ml
|
|
SIGMA
|
P2636-100MG
|
Poly-L-lysine
hydrobromide
|
100mg
|
|
SIGMA
|
P3803-100ML
|
Phenol/Chloroform/Isoamyl
alco
|
100ml/瓶
|
|
SIGMA
|
P4056-50UG
|
Platelet-Derived
Growth Factor
|
50ug/支
|
|
SIGMA
|
P4543-25G
|
丙戊酸
钠盐
|
25g/瓶
|
|
SIGMA
|
P5515-1MG
|
Prostaglandin
E1
|
1mg
|
|
SIGMA
|
P5976-1MG
|
Anti-Platelet-Derived
Growth F
|
1mg/支
|
|
SIGMA
|
P6148-500G
|
Paraformaldehyde
|
500g
|
|
SIGMA
|
P6188-1MG
|
Prostaglandin
I2 sodium salt
|
1mg
|
|
SIGMA
|
P8139-1MG
|
Phorbol
12-myristate 13-acetate
|
1mg
|
|
SIGMA
|
P8340-1ML
|
Protease
Inhibitor Cocktail
|
1ml
|
|
SIGMA
|
P8825-.2ML
|
Anti-Proliferating
Cell Nuclea
|
0.2ml/支
|
|
SIGMA
|
P8833-25MG
|
Puromycin
dihydrochloride
|
25mg
|
|
SIGMA
|
P9767-5G
|
棕榈酸钠
|
5g/支
|
|
SIGMA
|
PHR1237-500MG
|
Cholecalciferol
(Vitamin D3)
|
500mg
|
|
SIGMA
|
PVP360-100G
|
聚乙烯吡咯烷酮
|
100g
|
|
SIGMA
|
PVP360-500G
|
聚乙烯吡咯烷酮
|
500g
|
|
SIGMA
|
RTC000068-1L
|
Sodium
Azide 0.05% Solution
|
1L
|
|
SIGMA
|
S-6422
|
Na4P2O7×10H20
(NaPPi)
|
500G
|
|
SIGMA
|
S0130-1G
|
链脲佐菌素
|
1g
|
|
SIGMA
|
S0192-500ML
|
Hematopoietic
Stem Cell Expansion Medium
|
500ml
|
|
SIGMA
|
S0192-6X500ML
|
Stemline
II Hematopoietic Stem Cell Expansion Medium
|
1PK
|
|
SIGMA
|
S2626-1G
|
亚精胺
|
1g
|
|
SIGMA
|
S4641-1KG
|
柠檬酸钠
二水合物
|
1kg/瓶
|
|
SIGMA
|
S607-5G
|
水杨羟肟酸
|
5G
|
|
SIGMA
|
S6506-5G
|
Silver
nitrate
|
5g
|
|
SIGMA
|
S7907-500G
|
磷酸钠
二元
|
500g
|
|
SIGMA
|
S8032-25G
|
Sodium
azide
|
25g
|
|
SIGMA
|
S8636-100ML
|
Sodium
pyruvate solution
|
100ml
|
|
SIGMA
|
S9133-1MG
|
亚硒酸钠
|
1mg
|
|
SIGMA
|
S9637-100G
|
丁二酸钠
二元 六水合物
|
100G
|
|
SIGMA
|
SAB4200071-200UL
|
ANTI-FLAG
antibody, Rat monocl
|
200ul/支
|
|
SIGMA
|
SAB4200085-200UL
|
Monoclonal
Anti-AGO2 antibody
|
200ul/支
|
|
SIGMA
|
SAB4200539-200UL
|
Anti-Myocardin
antibody produc
|
200ul/支
|
|
SIGMA
|
SML0286-25MG
|
BMS753
|
|
|
SIGMA
|
SML0429-5MG
|
Ac-YVAD-cmk
|
5mg
|
|
SIGMA
|
SML0737-25MG
|
MitoTEMPO
|
25mg
|
|
SIGMA
|
SML0737-5MG
|
MitoTEMPO
|
5mg
|
|
SIGMA
|
SRP0221-20UG
|
PTPIA2
Active human
|
20ug
|
|
SIGMA
|
T0665-1G
|
holo-Transferrin
human
|
|
|
SIGMA
|
T0665-50MG
|
holo-Transferrin
|
50mg
|
|
SIGMA
|
T1077-10UG
|
Tissue
Inhibitor of Metalloproteinase-2 人
|
10ug
|
|
SIGMA
|
T4049-100ML
|
胰蛋白酶-EDTA
溶液
|
100ml
|
|
SIGMA
|
T4049-500ML
|
胰蛋白酶-EDTA
溶液
|
500ml
|
|
SIGMA
|
T4393-100UN
|
凝血酶
来源于人类血浆
|
100un
|
|
SIGMA
|
T4424-100ML
|
Trypsin
solution from porcine pancreas
|
100ml
|
|
SIGMA
|
T4424-500ML
|
Trypsin
solution from porcine pancreas
|
500ml
|
|
SIGMA
|
T48402-5G
|
2,2,2-三溴乙醇
|
5g/瓶
|
|
SIGMA
|
T4952-5MG
|
Tanshinone
IIA
|
5mg
|
|
SIGMA
|
T5168-100UL
|
Monoclonal
Anti-α-Tubulin antibody produced in mouse
|
100ul
|
|
SIGMA
|
T5941-100G
|
Trizma
盐酸盐
|
100g
|
|
SIGMA
|
T5941-500G
|
Trizma
盐酸盐
|
500g
|
|
SIGMA
|
T6522-25MG
|
胰蛋白酶抑制剂
|
25mg
|
|
SIGMA
|
T7009-100UN
|
凝血酶
来源于人类血浆
|
100un
|
|
SIGMA
|
T7009-1KU
|
凝血酶
|
1ku
|
|
SIGMA
|
T8203-100UL
|
Anti-α-Tubulin
antibody
|
100ul/支
|
|
SIGMA
|
T8787-50ML
|
Triton
X-100
|
50ml
|
|
SIGMA
|
T9284-100ML
|
Triton
X-100
|
100ml
|
|
SIGMA
|
T9531-5G
|
D-(+)-海藻糖
二水合物
|
5g/瓶
|
|
SIGMA
|
U120-1MG
|
U0126
monoethanolate
|
1mg/瓶
|
|
SIGMA
|
V900019-500G
|
柠檬酸
|
500g
|
|
SIGMA
|
V900058-500G
|
Sodium
chloride
|
500g
|
|
SIGMA
|
V900061-500G
|
Sodium
phosphate dibasic
|
500g
|
|
SIGMA
|
V900068-500G
|
Potassium
chloride
|
500g
|
|
SIGMA
|
V900095-500G
|
柠檬酸钠
|
500g
|
|
SIGMA
|
V900116-500G
|
蔗糖
|
500g
|
|
SIGMA
|
V900144-500G
|
甘氨酸
|
500g
|
|
SIGMA
|
V900408-100G
|
L-谷氨酸
|
100G
|
|
SIGMA
|
V900477-100G
|
HEPES
|
100g
|
|
SIGMA
|
V900483-500G
|
Trizma碱
|
500g
|
|
SIGMA
|
V900510-100G
|
琼脂糖
|
100g/瓶
|
|
SIGMA
|
V900548-500ML
|
TWEEN
20
|
500ml
|
|
SIGMA
|
V900853-25ML
|
TEMED
|
25ml
|
|
SIGMA
|
V900859-500G
|
十二烷基硫酸钠
|
500g
|
|
SIGMA
|
V900883-25G
|
过硫酸铵(AP)
|
25g
|
|
SIGMA
|
V900930-1MG
|
雷帕霉素
|
1mg
|
|
SIGMA
|
Y1625-250G
|
Yeast
Extract
|
250g
|
2026-04-07
2026-03-02
限时免费试用!加拿大Labplas无菌采样袋,让您的样品更安全!
2026-01-23
2026-01-12
2025-12-31